Exercice 1¶
Calculez la série de Fourier du créneau tel que sur la période il est défini comme :
Calculez la transformée de Fourier du signal :
Calculez la série de Fourier discrète du signal défini sur (avec pair) :
Exercice 2¶
Calculez la série de Fourier d’une sinusoïde de fréquence et de phase .
Que devient le spectre lorsque la phase varie ?
Tracez le module et la phase de la série de Fourier pour (cas d’un sinus) et pour (cas d’un cosinus). Que constatez-vous ?
Exercice 3¶
Soit un signal réel. Quelle est la relation entre la transformée de Fourier de et celle de ?
Exercice 4¶
Calculez la transformée de Fourier du signal où est un réel strictement positif.
Exercice 5¶
Calculez la transformée de Fourier du signal
Exercice 6¶
Quel est, intuitivement, le spectre d’un signal temporel constant ?
En déduire le spectre d’une impulsion de Dirac centrée en 0.
Qu’en concluez-vous sur la composition fréquentielle d’une impulsion de Dirac ?
Exercice 7¶
Le module du spectre d’un signal musical est schématisé ci-dessous (la phase n’a pas d’importance dans cet exercice) :
On envisage de transmettre ce signal par radio en modulation d’amplitude, c’est-à-dire de transmettre le signal défini par :
où kHz. Le deuxième terme de cette équation est la « porteuse » qui est modulée en amplitude par .
À l’aide des propriétés de la transformée de Fourier, esquissez le module du spectre de .
Une autre station de radio désire elle aussi transmettre un signal musical, dont la fréquence maximale est 8000 Hz. Proposez une valeur de la fréquence de la porteuse de ce deuxième programme.
Exercice 8¶
Le signal est représenté ci-dessous.
On note sa transformée de Fourier. Répondez aux questions suivantes sans calculer explicitement .
est-elle périodique ? Si oui, donnez sa période.
est-elle un signal continu ou discret ?
Donnez la valeur de .
Donnez
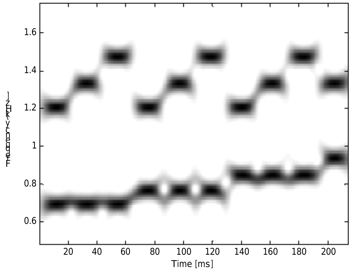
Exercice 9¶
La figure ci-dessous est tirée de la publication scientifique
R. Reiz, C. Gordan, D. Purcaru & C. Kokkonis, « Using Advanced Signal Processing Methods for DTMF Detection », Journal of Electrical and Electronics Engineering, 2009.

Que représente les axes (et oui, le titre de l’axe des ordonnées n’est pas clair : c’est une maladresse des auteurs...) ?
Décrivez précisément (en français ou sous forme mathématique) quel est le signal analysé.
Exercice 10¶
Associez pour chaque signal temporel (identifié par une lettre) le spectre correspondant (identifié par un chiffre), en justifiant chaque association.
Notez que les signaux (temporels ou spectres) sont représentés en fonction des échantillons (temporels ou fréquentiels), et que seul le module des spectres est représenté.